Introduction: Ibrutinib, a once-daily Bruton's tyrosine kinase inhibitor (BTKi), is recommended as first-line (1L) treatment for patients with chronic lymphocytic leukemia (CLL). Dosing flexibility with ibrutinib allows patients to adjust their daily dose to help prevent recurrence or worsening of adverse events, while maintaining efficacy by allowing patients to stay on treatment and benefit from long-term treatment outcomes. The current study aimed to compare time to next treatment (TTNT) in CLL patients initiating 1L single-agent ibrutinib at 420mg/day and staying on this dose versus those having a dose adjustment (DA) within 3-12 months.
Methods: Specialty pharmacy electronic medical records from the Acentrus database, comprised primarily of academic and non-teaching hospital systems in the United States (1/1/2016-4/30/2022), were used to identify adults with CLL who initiated 1L single-agent ibrutinib at a starting dose of 420mg/day (index date) (N = 1,171). A washout period of ≥12 months pre-index (also used to evaluate baseline characteristics) was required to confirm use as 1L therapy. The following treatment strategies were compared: treatment for 3 months post-index at 420mg/day followed by DA to a dose below 420mg/day between 3-12 months post-index versus sustained treatment for ≥12 months post-index at 420mg/day. The first 3 months were required to be at 420mg/day for both strategies, as most DAs occur after this period.
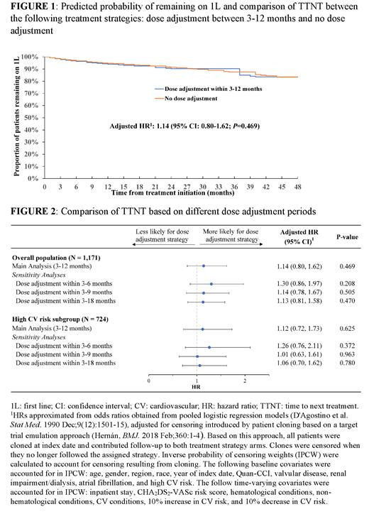
TTNT was defined as the time from the index date to the initiation of a next treatment. Administrative censoring included treatment discontinuation (based on treatment gap of ≥365 days), death, participation in a clinical trial, end of data availability, within-class BTKi switch (i.e., switching to another covalent BTKi), anti-CD20 antibody (i.e., obinutuzumab or rituximab), or venetoclax add-on within 180 days post-index.
To account for immortal time bias (i.e., patients with DA are required to survive on 1L therapy until DA), as well as overlap between follow-up time and definition of treatment strategies, a target trial emulation approach was used, where all patients were cloned at index date and contributed follow-up to both treatment strategy arms. Hazard ratios (HRs) were approximated from odds ratios obtained from multivariate pooled logistic regression models comparing TTNT between the two treatment strategies. Sensitivity analyses using different time periods to capture DA (3-6, 3-9, and 3-18 months) were also conducted. Results were replicated in the subgroup of patients at high risk for a cardiovascular (CV) event (based on pre-existing CV conditions or a high CV risk score).
Results: Among the 1,171 patients who initiated 1L single-agent ibrutinib at a starting dose of 420mg/day, the mean age was 70.4 years, with 34.6% being female. The mean Quan-Charlson Comorbidity Index score was 3.0, and 61.8% were classified as high risk for a CV event. The mean (median) follow-up was 29.8 (30.9) months.
Overall, 229 (19.6%) patients had a DA at any time (178 [77.7%] adjusted their dose to 280mg/day), with a mean (median) time to DA of 9.0 (5.5) months. Of these patients, 111 (48.5%) had a DA between 3-12 months post-index date (3-6 months: 66 [28.8%] patients, 3-9 months: 87 [38.0%] patients, 3-18 months: 126 [55.0%] patients). A total of 90 (7.7%) patients initiated a next treatment, out of which 59 (65.6%) patients initiated a venetoclax-based regimen (beyond the first 180 days) as their subsequent therapy.
After adjustment in a pooled logistic regression model, DA was not associated with an increased risk of having a next treatment (HR: 1.14, p-value: 0.469) ( Figure 1). In sensitivity analyses evaluating DA over periods of 3-6, 3-9, and 3-18 months, results remained non-significant, with HRs ranging from 1.13 to 1.30 (all p-values >0.05) ( Figure 2). Results were also consistent in the subgroup with high risk for a CV event.
Conclusions: This large real-world analysis of CLL patients from academic and non-teaching hospital systems showed that undergoing DA of 1L ibrutinib yielded similar clinical outcomes compared to having no DA, with similar findings for the high CV risk subgroup. These findings, along with those from clinical trials and real-world community oncology practices, suggest that a flexible dosing approach with ibrutinib may be an effective approach in allowing patients to achieve optimal outcomes while remaining on long-term continuous 1L treatment.
Disclosures
Ghosh:Seagen, TG Therapeutics, AstraZeneca, Phamacyclics, Janssen, Bristol Myers Squibb, Gilead Sciences, Kite Pharma, Beigene, Incyte, Lava Therapeutics, Incyte, Roche/Genentech Novartis, Loxo Oncology, AbbVie, enmab, Adaptive Biotech, ADC Therapeutics: Consultancy; TG Therapeutics, Genentech/Roche, Bristol Myers Squibb,Gilead, Morphosys, AbbVie, Pharmacyclics,: Research Funding; see consulting and speaker's bureau.: Honoraria, Other: see consulting and speaker's bureau. ; AstraZenca, Janssen, Pharmacyclics, Kite pharma, BMS, Epizyme: Speakers Bureau; Roche NHL soultions panel: Membership on an entity's Board of Directors or advisory committees. Qureshi:Janssen Scientific Affairs, LLC: Current Employment, Current equity holder in publicly-traded company. Ding:Janssen Scientific Affairs, LLC: Current Employment, Current equity holder in publicly-traded company. Lafeuille:Janssen Scientific Affairs, LLC; Pharmacyclics, AbbVie, Pfizer, GSK: Research Funding. Emond:Janssen Scientific Affairs, AbbVie, Pharmacyclics, GSK, Pfizer, Merck: Research Funding. Gogna:Janssen Scientific Affairs, AbbVie: Research Funding. Moore:Novartis Pharmaceuticals Corporation: Research Funding; Janssen Scientific Affairs, LLC: Research Funding. Lefebvre:Janssen Scientific Affairs, AbbVie, Pharmacyclics, GSK, Pfizer, Otsuka, Acadia, Actelion, Novartis: Research Funding. Bokun:Janssen Scientific Affairs, LLC: Current Employment, Current equity holder in publicly-traded company. Mavani:Janssen Scientific Affairs, LLC: Current Employment, Current equity holder in publicly-traded company. Rogers:AbbVie: Consultancy, Research Funding; Genentech: Consultancy, Research Funding; Beigene: Consultancy; AstraZeneca: Consultancy; Janssen: Consultancy; Loxo@Lilly: Consultancy; Novartis: Research Funding; Pharmacyclics: Consultancy.

This feature is available to Subscribers Only
Sign In or Create an Account Close Modal